Logo of Phonon AgGaX_2


J.Lazewski and K.Parlinski,
First principle calculations for phonons in AgGaX_2 (X=Se, Te) chalcopiryte crystals,
J.Phys.: Conden.Matter, 11, 9673 (1999).

Crystal: Chalcopiryte AgGaSe_2
Software: Ab initio Castep of MSI ver. 3.8
Space group: tetragonal, I-42d (D_2d^12) (Z=2)
Lattice constants: a=6.047, c=10.714 angst.
Supercell: 1x1x1.
Pseudopotentials: high-precision of Castep
k-points: two wave vectors
LO/TO splitting fitted to experiment.

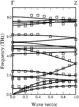
Comparison of phonon dispersion relations of AgGaSe_2 with neutron scattering measurements [1]:

Phonon Dispersion Curves of AgGa Se_2 compared with
neutron scattering

Reference

[1] R.Fouret, P.Derollez, P.Laamyem, B.Hennion and J.Gonzalez, J.Phys.: Condens.Matter, 6, 6579 (1997).